 
|   | Astronomy 161: An Introduction to Solar System Astronomy
 Prof. Richard Pogge, MTWThF 2:30
 | 
Lecture 18: The Apple and the Moon:
    Newtonian Gravity
Key Ideas:
Law of Falling Bodies (Galileo)
    - All falling bodies experience the same gravitational
        acceleration
Law of Universal Gravitation (Newton)
    - Gravity is an attractive force between all pairs of
        massive objects
    
- Gravitational force is proportional to the masses, and
        inversely proportional to the square of the distance
        between them.
NOTE:
 
This and the following lecture are probably the most mathematical of all
the lectures that will be given in this class.  I encourage you all to
read these notes in advance and try to follow the arguments in them.  In
will make it easier to follow along during lecture. [rwp]
The Law of Falling Bodies
Prior to his telescopic work, Galileo performed fundamental
research on motion.
Explored the rate of falling bodies by dropping different
weights, or sliding them down inclined planes.
Law of Falling Bodies
- In the absence of air, heavy objects and light objects
    fall at the same, constant rate of acceleration.
Universal Mutual Gravitation
Isaac Newton, in his Principia, formulated the Law of
Universal Mutual Gravitation:
Gravity is an Attractive force:
- It draws massive objects closer together
 
- Gravity is a Universal force:
- It operates everywhere in the Universe.
 
- Gravity is a Mutual force:
- It works between pairs of massive objects. 
Gravitational Force
The Force of Gravity between any two objects depends only upon:
The masses of the two objects:
- More massive objects exert a stronger the gravitational force.
The distance between them:
- The force gets stronger as the two objects move closer together.
 
- The force gets weaker as the two objects move farther apart.
It does not depend on the shapes, colors, or compositions of the
objects.
- The force of gravitational attraction between any two
    massive bodies is proportional to their masses and inversely
    proportional to the square of the distance between their
    centers.
The Force of Gravity is an example of an Inverse Square Law Force
Stated mathematically, the force of gravity between two massive
bodies is:
  - 
 
- Where:
- F = force due to gravity.
- M1 = mass of the first body
- M2 = mass of the second body
- d = distance between their centers.
- G = Gravitational Force Constant
The Gravitational Force Constant
The force constant, G, is a number which gives the size of the
gravitational coupling between two massive objects.
G is very small, in metric units:
- G=6.7x10-11
    Newtons meter2 / kilogram2
The Newton is the metric unit of force:
- 4.41 Newtons = 1 pound
G has to be measured 
experimentally18.1.
The Fall of an Apple.
Stand on the Earth and drop an apple.
What is the force of the Earth on the apple?
- F = GMearth Mapple/Rearth2
What is the apple's acceleration (Newton's 2nd Law of Motion):
- aapple = F/Mapple = GMearth/Rearth2 = 9.8 meters/sec2
Note that the mass of the apple (Mapple) had divided out of
the equation.  This means that the acceleration due to gravity is
independent of the mass of the apple, just like Galileo had shown
earlier.
Equal and Opposite Reactions
But, Newton's Third Law of Motion 
states that all forces come in equal yet opposite pairs
What force does the the apple apply in return upon the Earth?
- F = GMearth Mapple/Rearth2
How much does the Earth accelerate towards the apple?
- aearth = F/Mearth = GMapple/Rearth2
This can be rewritten to give the acceleration of the Earth in terms
of the acceleration of the apple towards the Earth as
- aearth = aapple x (Mapple/Mearth)
where aapple=9.8 meters/sec2, and the ratio 
of the Mass of the apple to the Mass of the Earth is very small number.
For a typical 200g apple, this works out to be about 10-25 meters/sec2, a very tiny acceleration.
The Mass of the Earth
We can directly measure the acceleration of gravity at the surface of
the Earth by dropping objects and timing their fall (e.g., like was done
by Galileo).  We find
- a = 9.8 meters/sec2
We can also measure the radius of the Earth using geometry (Eratosthenes):
- Rearth=6378 kilometers = 6,378,000 meters
Combining these together using Newton's formula for the Gravitational
Force allows us to estimate the mass of the Earth, as follows:
  
This is an example of one of the powerful implications of Newton's
Law of Gravity:  It gives us a way to use the motions of objects under
the influence of their mutual gravitation to measure the masses of
planets, stars, galaxies, etc.
The Orbit of the Moon
Falling apples are one thing, but what about the Moon?
- What keeps the Moon in orbit around the Earth?
The Law of Inertia (Newton's
First Law of Motion) predicts:
- If there were no gravitational force acting between the
    Moon and the Earth, the Moon would travel in a straight line
    at a constant speed.
But, of course the Moon really moves along a curved path:
- It is deflected from a straight-line path by the 
    force of gravity.
This causes the Moon to fall a little bit towards the Earth at the same
time at it moves to one side.
The Fall of the Moon
How far does the Moon fall around the Earth in 1 second?
How far does an apple fall on the Earth during the first second?
Newton also knew that: 
- Moon is about 60 Earth Radii from the Earth.
Summarizing the numbers:
The Moon:
    - Distance that the Moon falls towards Earth in 1 second: xmoon = 0.00136 meters
    
- The distance of the Moon from the center of the Earth: dmoon = 60 Rearth
    
- Acceleration of the Moon: 
amoon = GMearth/dmoon2 
= GMearth / (60Rearth)2
The Apple:
    - Distance the an Apple falls on Earth in 1 second: xapple = 4.9 meters
    
- The distance of the Apple from the center of the Earth: dapple = 1 Rearth
    
- Acceleration of the Apple: 
aapple = GMearth/dapple2 = GMearth/Rearth2
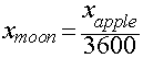
The ratio of the deflections of the Apple and the Moon in 1 second 
is ratio of their accelerations:
Putting all the info we have together, we get the following:
  
  
  
This predicts that the deflection of the Moon in 1 second necessary to
keep it in orbit around the Earth should be 1/3600th the
deflection of an apple during the first second of its fall to the Earth.
Observations vs. Prediction
Is this right?
Previously we found from observations that the deflections of the
Moon and apple in 1 second are:
- xmoon = 0.00136 meters 
- xapple = 4.9 meters
Gravity predicts that
- xapple/3600 = 4.9 meters/3600 = 0.00136 meters!!
The agreement is essentially perfect!
This demonstrates that the same law of gravity applies to both the
apple and the Moon!  Both feel the gravity of the Earth in the form of a
force that gets weaker as the square of their distance from the center
of the Earth.
So why does the Moon orbit the Earth?
If the Moon is falling a little towards the Earth, just like an apple
dropped on the surface, why does the Moon travel around the Earth in an
orbit instead of falling onto it?
The way to answer this question is to first consider what would
happen if there was no gravity acting:
- Question:
- How far would the Moon travel in a straight line in
    1 second if there were no gravity acting?
 
- Answer: 
- About 1000 meters.
At the same time, the Moon's motion along this straight-line path
would also cause it to move away from the Earth.
- Question: 
- How far away from the Earth would the Moon move in 1
second if no gravity were acting?
 
- Answer:
- About 0.00136 meters!
In round numbers, the amount the Moon falls towards the Earth due to
gravity is just enough to offset the straight-line path it would take if
gravity were not acting to deflect it.  This balance effectively closes
the loop.We have therefore reached a startling conclusion:
- The Moon is really perpetually falling around the Earth!
This is a totally different way of looking at an "orbit" under
the influence of gravity.
While at first sight the fall of an apple and the orbit of the Moon
appear to be two completely different phenomena, viewed in light of
Newton's laws of motion, they are in fact different manifestations of
the same thing!  The fall of the Moon around the Earth is the same kind
of motion as the fall of an apple to the Earth.  Both are described by
the same three laws of motion, and both feel a gravitational force
described by the same, universal force law.
Universal Gravitation
The Law of Gravity is Universal:
- Governs the fall of an apple on the Earth.
- Governs the fall of the Moon around the Earth.
- Governs the fall of the Earth/Moon system around the Sun.
- Governs the fall of the Sun around the center of the
    Milky Way Galaxy.
- Governs the fall of the Milky Way and Andromeda Galaxies
    in their mutual orbit...
and so on throughout the Universe.
Return to [
Unit 4 Index
|
Astronomy 161 Main Page
]
Updated: 2007 October 10
Copyright © Richard W. Pogge,
All Rights Reserved.