|
Astronomy 162:
Introduction to Stars, Galaxies, & the Universe
Prof. Richard Pogge, MTWThF 9:30
|
Lecture 6: The Motions of the Stars
Readings: Readings: Ch 19, box 19-1
- The stars are in constant motion.
- Observed Motions:
- Proper Motions (across the sky)
- Radial Velocity (towards/away from us)
- True Space Motion
- Combination of radial velocity, proper motion, & distance.
The "Fixed Stars"
To the naked eye, the stars appear "fixed" to the sky.
In reality, the stars are in constant motion.
The great distances to the stars means that their apparent motions
across the sky are very small during a human lifetime.
Proper Motions
Proper Motion is the apparent angular motion of a star
across the sky with respect to more distant stars.
- Typical proper motion is ~0.1 arcsec/year.
- Largest: 10.25 arcsec/yr (Barnard's Star).
This is the projection onto the sky of the star's true motions
through space relative to the Sun.
Proper motions are Cumulative.
The effect of proper motions build up over time...
The longer you wait, the greater the apparent angular motion is
Modern measurement of proper motions:
- Compare images of the sky taken 20 to 50 years apart.
- Measure how much the stars have moved relative to distant background
objects (usually galaxies or quasars).
Example:
Consider a star with a proper motion of 0.1 arcsec/year:
- After 1 year: star has moved 0.1 arcsec
- After 10 years: star has moved 0.1x10 = 1 arcsec
- After 100 years: star has moved 0.1x100 = 10 arcsec
Since the smallest angle the eye can discern with great care is a few
arcminutes (1 arcmin = 60 arcsec), it can take many millennia for the
constellations to noticeably change shape.
Discovery
Proper motions were first noted by Edmund Halley in 1718 for three
bright stars: Sirius, Aldebaran, and Arcturus, by comparing his
measurements of their positions to those of Hipparchus of Rhodes
(300BC). In all, it took 2000 years for the motions to build up to the
point that they became apparent to naked eye observers.
Case Study: Proper motions in the Big Dipper
Due to the proper motions of the stars that make up this familiar
constellation, its shape changes slowly over time. It takes many
thousands of years, however, for the effects to be visible to the naked
eye.
Here is a movie showing
200,000 years of proper motion in the Big Dipper, including faint stars.
Notice how they all tend to move in different directions, but some (like 5
in the Dipper) have common motions...
Proper Motion depends on the Distance
The amount of proper motion shown by a star depends on its distance.
- More distant stars tend to have smaller Proper Motions
- Can usually only measure proper motions for stars within about 1000
parsecs of the sun.
But...
Distance is only part of the effect!
A small proper motion does not always mean a large distance!
Example:
- Stars moving exactly towards or away from us will show
no proper motions!
Radial Velocity
The radial velocity of a star is how fast it is moving
directly towards or away from us.
Radial velocities are measured using the Doppler Shift of the
star's spectrum:
- Star moving towards Earth: Blueshift
- Star moving away from Earth: Redshift
- Star moving across our line of sight: No Shift
In all cases, the Radial Velocity is Independent of Distance.
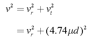
True Space Motions
The quantity we really want to know is the true motion of the star
through space in 3-dimensions.
To find the true space velocity of a star, we need
to break its motions into two velocity components:
- Radial Velocity (vr)
- Measure this using the Doppler Shift of its spectrum.
- Tangential Velocity (vt)
- Measure this from its Proper Motion and Distance:
- where:
- m = Proper Motion in arcsec/yr
- d = Distance in parsecs
- The formula above gives vt in km/sec.
Each of these velocities forms the legs of a right triangle with the
true space velocity (v) as the hypotenuse.
We can then use the Pythagorean Theorem to derive the True Space Velocity (v):
To estimate the true space velocity, you need to measure
three observable quantities:
- The Radial Velocity
- The Proper Motion
- The Distance
The last is often the most difficult to measure (as always).
Why measure the space motions?
Most useful when measured for many stars.
Use statistics of the motions to find:
- Motion of the Sun through nearby space (towards the constellation
of Hercules)
- Local rotation of the Galactic Plane
- Identify odd-ball stars that move "peculiarly" relative
to otherwise similar stars.
Stellar motions are an important tool for studying the structure
of our home galaxy, the Milky Way.
Return to [
Unit 1 Index
|
Astronomy 162 Main Page
]
Updated: 2006 January 5
Copyright © Richard W. Pogge,
All Rights Reserved.