skip navigation
Astronomy 161
Introduction to Solar System Astronomy
Prof. Paul Martini

Lecture 17: Orbits


Key Ideas:

Newton's generalization of Kepler's laws:
First Law: Orbits are conic sections with the center-of-mass of the two bodies at the focus
Second Law: angular momentum conservations
Third Law: depends on the masses of the bodies
Triumph of Newtonian Gravity
Predicted return of Halley's Comet


Kepler's Laws Revisited

First Law:
Orbits are ellipses with the Sun at one focus
Second Law:
Line from Sun to Planet sweeps out equal areas in equal times
Third Law:
P2 = a3 where P is in years and a is in AUs


Newton's Generalization

Newton showed that Kepler's Laws can be derived from first principles:
Three Laws of Motion
Law of Universal Gravitation
Newton generalized the laws to apply to any two bodies moving under the influence of their mutual gravitation
Moon orbiting the Earth
Two stars orbiting each other
And much, much, more


First Law of Orbital Motion

The shape of an orbit is a conic section with the center-of-mass at one focus

Conic Sections:
Curves found by cutting a cone with a plane
Circles, Ellipses, Parabolas, and Hyperbolas
Center-of-Mass is at the Focus
The Earth does not orbit the Sun, the two orbit each other about their mutual center-of-mass


Closed and Open Orbits

Conic curves come in two families

Closed curves:
Ellipses
Circles: special case of an ellipse with e=0
Orbits are bound and objects orbit perpetually
Open curves:
Hyperbolas
Parabolas: special case of a hyperbola
Orbits are unbound and objects escape


Circular Velocity

Velocity needed to sustain a circular orbit of a given radius, r, from a massive body, M:

circular velocity
If v<vC, the orbit is an ellipse smaller than the circular orbit
If v>vC, the orbit is an ellipse larger than the circular orbit
Go a lot faster, and…


Escape Velocity

Minimum velocity required to have a parabolic (unbound) orbit starting at a given distance from a massive body:

escape velocity
At the Earth's surface:
vC = 7.9 km/sec (28,400 km/hr)
vE = 11.2 km/sec (40,300 km/hr)


Center of Mass

Two objects orbit about their center of mass
Balance point between the two masses
Semi-Major axis is a = a1 + a2
Relative positions a2/a1 = M1/M2


Example: Earth and Sun

Msun = 2 x 1030 kg
Mearth = 6 x 1024 kg

From the balance relation, the distances of the Sun and Earth from their mutual center of mass are related to the size of the semi-major axis of the Earth's orbit (a) and the ratio of the masses:

asun + aearth = 1 AU = 1.5 x 108 km
asun/aearth = Mearth/Msun = 3 x 10-6

After some simple algebra, we find:

asun = 450 km

Since the radius of the Sun is 700,000 km, this means that the center-of-mass of the Earth-Sun system is deep inside the Sun.


Second Law of Orbital Motion

Orbital motions conserve angular momentum

Angular Momentum:
L = mvr = constant
where:
m = mass
v = velocity
r = distance from the center of mass
At constant mass:
Increase r, v must decrease proportionally
Decrease r, v must increase proportionally


Angular Momentum and Equal Areas

Motion of a planet around the Sun conserves angular momentum
Near Perihelion:
Planet is closer to the Sun (smaller r)
Speed (v) increases to compensate
Near Aphelion:
Planet is farther from the Sun (larger r)
Speed (v) decreases to compensate


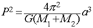
Third Law of Orbital Motion

Newton's generalization of Kepler's 3rd Law:

Generalized Kepler third law
Where:
P = period of the orbit
a = semi-major axis of the orbit
M1 = mass of the first body
M2 = mass of the second body


A Third Law for Every Body

The proportionality between the square of the period and the cube of the semi-major axis now depends on the masses of the two bodies

For planets orbiting the Sun, Msun is so much larger than any planet (even Jupiter, at 1/1000th Msun) that we recover Kepler's version of the Third Law from Newton's more general form:

Introduction to Solar System version of the Third Law


Measuring Masses

Newtons' form of Kepler's 3rd Law lets us measure masses from orbital motions
Mass of the Sun from the Earth's orbit:
Period = 1 year = 3.156 x 107 seconds
a = 1 AU = 1.496 x 1011 meters
Mass of the Sun from the Third Law


Universal Method for Masses

Measure mass of Jupiter from the orbits of the Galilean moons, since MJupiter >> Mmoons
Find MJupiter ~ 300 MEarth
Measure the mass of the Earth and Moon by measuring their orbital parameters:
Earth is 81x more massive than the Moon
Can also measure the masses of binary stars


Predictive Power of Gravity

Halley's Comet:
Using Newtonian Gravity, Edmond Halley found that the orbit of the Great Comet of 1682 was similar to comets seen in 1607 and 1537
He predicted it would return again in 1758
It was seen again Christmas night 1758
Dramatic confirmation of Newton's Laws of Motion and Gravitation


The Why of Planetary Motions

Kepler's Laws are descriptions of the motion:
Arrived at by trial and error, and some vague notions about celestial harmonies
Only describe the motions, without explaining why they move that way
Newton provides the explanation
Kepler's Laws are a natural consequence of Newton's 3 Laws of Motion and his Law of Gravitation
Gives the laws predictive power


See A Note about Graphics to learn why some of the graphics shown in the lectures are not reproduced with these notes.

[ Return to the Astronomy 161 Main Page | Unit 4 Page ]


Updated: 2010 January 23
Copyright © Paul Martini All Rights Reserved.